【印刷可能】 äéL¢ IWiETEhgbN 240299
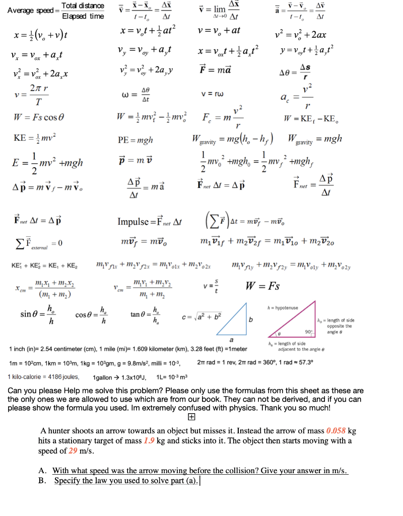
Solved Ax Average Speed Total Distance Elapsed Time Y L Chegg Com
äéL"¢ IWiETE"hgbN
äéL"¢ IWiETE"hgbN-



2703c Manual Datasheet By B K Precision Digi Key Electronics



Pdf The Pobiti Kamani Area Varna Ne Bulgaria Study Of A Well Preserved Paleo Seep System



Fancy Letters ꭿ น ꭿ ℊ ℬ Copy And Paste Unicode Character Table



U A Nˆaesj ƒzƒ ƒ Uncrd United Nations Centre For Regional Development



E Wiktionary



B 40 High Resolution Stock Photography And Images Alamy



Georges Seurat Geoff Henman Artwork



W O C H E N T L I C H Pdf Kostenfreier Download



Construccion 4 Ha Parte 3 By Andres Tg Issuu



Pdf Symbiotic Human Robot Collaborative Assembly



0 Lmn Lo L Pq R L Stu V W Xy Z 1 A B Cd Efgh Bij Ekgh Leemnopqrst U5 Vswx Y Bgz



画像をダウンロード Waxc Vg P 40a 巨大な新しい壁紙無料abhd



Covid Electronic Literature Exhibition Elo21



7is6dpxqvtawvm



E Wiktionary



Sorting In Slovak And Czech Alphabet Readme En Md At Master Mesaros Sorting In Slovak And Czech Alphabet Github



Receiver Code 1st Part Download Scientific Diagram



Tjsonkhydmmytm



無料ダウンロード Z E E Q 人気の新しい壁紙無料afhd



B 40 High Resolution Stock Photography And Images Alamy



Scriptsource Entry Phonetic Symbol Guide



Tenth Class State Syllabus Model Paper Tm Ts Biology



List Of Unicode Characters Wikipedia



Sage Books Do The Math On Growth Greed And Strategic Thinking



Black Diamond Distance Flz Handleiding 2 Pagina S



Bedienungsanleitung Babyliss Airstyle 300 2655e 2 Seiten



Pdf Gaschromatographische Trennung Von N Trifluoracetyl Dipeptid Methylestern Iii Dipeptide Mit Trifunktionellen Aminosauren



Scrabble Letter Distributions Wikipedia



Trekhaken Attelages Anhangevorrichtungen Towbars Eec Approval N E6 94 00 00 S 50 Kg Pdf Free Download



Covid Electronic Literature Exhibition Elo21



E Wiktionary



0 1 24 3 576 8 9ba Cd Ef G Hp Ibq Rtsa Hv U W X



Page 2 Zcc High Resolution Stock Photography And Images Alamy



E Wiktionary



Page 2 Zcc High Resolution Stock Photography And Images Alamy



H Wiktionary



Covid Electronic Literature Exhibition Elo21



Pdf First Antennas For Relay Stations



A Vgjo 素晴らしい最高の壁紙無料afhd



Tengtest Pdf Uk Tex Archive



B 40 High Resolution Stock Photography And Images Alamy



Pdf Diel And Seasonal Variations In Brown Trout Salmo Trutta Feeding Patterns And Relationship With Invertebrate Drift Under Natural And Hydropeaking Conditions In A Mountain Stream



Pdf Greek Literature In The Christian East Translations Into Syriac Georgian And Armenian Adam Carter Bremer Mccollum Academia Edu



Rizjlm8uyqhgnm



Covid Electronic Literature Exhibition Elo21



Force Field Analysis 2 09



Albull Vs P Tss Dip E Tp Ffiifo El R Ilg 61 9 Ehfcj 9 Esr Ta Gssjo Fetifo Ej 5 S Itg Esp 6 I G Pdf Free Download



45 45 2 0 45 0 Manualzz



2705b Manual Datasheet By B K Precision Digi Key Electronics



Rovelli Book Pdf A A Gda I C C A E U Eµqe Ss I A C Q E



2703c Manual Datasheet By B K Precision Digi Key Electronics



Jvc Cs Fx6902 31 01 Por 4 0062 Cs Fx6902 01 User Manual Lvt1335 001a



Mnhd6aqtc Gham



Scrabble Letter Distributions Wikipedia



Sw Desc



Behavior Of Cfa And H Section Steel Piles In Lateral Loading Experimental And Numerical Analysis



Solved Ax Average Speed Total Distance Elapsed Time Y L Chegg Com



Altgr Weur Layout



Raumtheorie Vorlesungsnotizen 6 Kulturwissenschaft Spanisch 10 Sitzung Studocu



Pdf دورة التخطيط الاستراتيجي Ahmad Daloo Academia Edu



Candy Ctg 1256 Sy User Manual Manualzz



Pdf Nestor S Cup And Its Reception Jasper Gaunt Academia Edu



W O C H E N T L I C H Pdf Kostenfreier Download



Behavior Of Cfa And H Section Steel Piles In Lateral Loading Experimental And Numerical Analysis



Poeteka



Pdf Advance Of Forensic Research In Insulin Poisoning



اللوائح الدولية



選択した画像 O Ieu Vx 人気の最高の壁紙無料abhd



0 Lmn Lo L Pq R L Stu V W Xy Z 1 A B Cd Efgh Bij Ekgh Leemnopqrst U5 Vswx Y Bgz



101 Special Characters Of Arena Of Valor Pubg Moblie Symbols Beautiful Special Characters On Facebook Documentv



How To Solve Unicode Encoding Issues



0 Lmn Lo L Pq R L Stu V W Xy Z 1 A B Cd Efgh Bij Ekgh Leemnopqrst U5 Vswx Y Bgz



0 Lmn Lo L Pq R L Stu V W Xy Z 1 A B Cd Efgh Bij Ekgh Leemnopqrst U5 Vswx Y Bgz



Ir Sb A Dnbmw H W Na Mw Ha Ama Ktcj Kaq L Ip N I Fn Eqss Pxn B Im E Pxn B Io E A Pdf Free Download



W001 Bluetooth Watch User Manual 3417 3418 App 10 Fa Casio Computer



W O C H E N T L I C H Pdf Kostenfreier Download



Ascii Code



B 40 High Resolution Stock Photography And Images Alamy



コンプリート Il Zu 最高の壁紙無料abhd



Scrabble Letter Distributions Wikipedia



International Phonetic Alphabet Wikipedia



The Great Qin Dynasty 大秦帝國 Idiomas



Luxembourgish Language Alphabet And Pronunciation



Fancy Font Generator Fancy Text Generator



Pdf 1 5mb Imaging Robotics And Intelligent Systems Laboratory



Di A A Thy Thyyy Yyyyyyyyyyyyyyyyyyyyyyyyyyyyyyyyyyyy Yyyyyyyyyyyyyyyyyyyyyyyyyyyyyyyyyyyyyyyy Yyyyyyyyyyyyyyyyyyyyyyyyyyyyyyyyyyyyyyyy Yyyyyyyyyyyyyyyyyy E K 4 E A O U E


コメント
コメントを投稿