s[X©Á±¢¢æ}R 143282
> ( È !!S { { s ã s x w æ s x x á ä t r s u ã s z t áT r s z æ s { t r s { æ t r t r s w æ s x æ { t r s x æ s y æ { ä t
Www Bsmath Hu P Erdos 1966 07 Pdf
"s[X©Á±¢¢æ'}R
"s[X©Á±¢¢æ'}R-ì ¦ § I y # ÷ A } s ý } ÿ 6 Ä ô @ ö n ï x U ô p ©219 23 41 ' ¦ § @ Î N } ÿ 6 Ä Ì V C ¦ § ² O ö!A b s tI'd c t Im a g e s eg m e n ta tio n is a n im p o r ta n t re s e a rc h fie ld o f p a tte rn re c o g n itio n £¬im a g e u n d e r sta n d in g an d c o m p u te r v is io n£® S u p p o rt v ec to r m a c h in e ( S V M ) is n o w w id e ly u s ed in im a g e se g m e n t a tio n £¬b u t th e tra in in g s am p le s a re u s



Neuropilin 1 Is A Host Factor For Sars Cov 2 Infection Science
ã s x ã s { x æ v r u u w y á ä c v rTitle Microsoft Word DGIS_5018 Author lagladze Created Date PMB O ¾ I ï S ö $ n À t ÷ ÿ } s ý ú " ô 4 Í g n ï Ï 6 w ô ù Ë ç å Î t } ô p H 8
÷ A } s ý } ÿ 6 Ä b p c Õ ô N ø U ö!Title Microsoft Word Mg_# Author lagladze Created Date 6/3/19 AMM i » È !
\ Z C 0 æ Ò 0 } ÿ 6 Ä æ 7 @ â V C ô " £" ï x ö!õ À 217 9 3 0 ì $ ÷ &¬ ¸ ¼ ± 50 ½ ¿ ¼ ±_____ wwwgrafoulisgr Title 50 a Created Date 4/6/11 PM



How To Type Letters With Accents On Mac



Estimated Transmissibility And Impact Of Sars Cov 2 Lineage B 1 1 7 In England Science
ª ¬ ¸ « ° ¹ ¨ ³ À ¨ © ¨ ¯ ° ¨ ª ° ¹ º µ Ä ¬ ² ° ¹ ¯ « ¨ « ª ¬ ´ ° ² ¬ © ¨ ¨ ¸ ¨ ¹ ¨ ¨ ¸ Á ¬ ´ µ ¶ ¬ü ö) q Ô § Æ S Ä õ Õ ¹2*!217 3 s » n )22* V ù!



Www Osti Gov Servlets Purl



Www Pmschools Org Site Handlers Filedownload Ashx Moduleinstanceid 701 Dataid 3614 Filename 15 composition of transformations answers Pdf
Á L , ü Ä Ð ² Ô ô ô å } 9 ¶ ¶ J ü Ä ô N > " Ä \ s À!\21 2 27 ' } ÿ 6 Ä V C ¦ § ² O ` ö 4 N Ò æ 7 @ â ö!!!



August 06 Matchman Head S Blog



Http Www Ualberta Ca Rjia Math417 Notes Chap6 Pdf



Elon Musk On How To Pronounce Son X Ae A 12 S Name Says Grimes Mostly Came Up With Idea Peopletv Youtube



Single Molecule Fret A Schematic 2d E S Histogram Showing The Download Scientific Diagram



Solved Use The Chain Rule To Find The Indicated Partial D Chegg Com



Complex Number Wikipedia



How To Type Ae C And More Special Characters On A Mac Macworld Uk



Ae Wikipedia



Norwegian Language Alphabet And Pronunciation



The Effect Of Travel Restrictions On The Spread Of The 19 Novel Coronavirus Covid 19 Outbreak Science



Mechanical Twinning Is A Correlated Dynamic Process Scientific Reports



Www Jstor Org Stable



2



Ae Wiktionary



U2b Low Power Wireless Microphone Test Setup Photos Test Set Up 2 Shure Orporated



The Demand Equation For A Certain Product Is Given By P 104 0 015x Where P Is The Unit Price In Dollars Of The Product And X Is The Number Of Units Produced Wyzant



Characters In Excel Excel



F R Theories Springerlink



F18faf41c0a6114b3b4da91a8ebb493e7fdd6be4bf6ccdd5 Any Run Free Malware Sandbox Online



Type Special Characters On A Chromebook Accents Symbols Em Dashes



Plformat



2



How Hard Is It To Speak Icelandic Guide To Iceland



How To Type Ae C And More Special Characters On A Mac Macworld Uk



2



F R Theories Springerlink



3



Finished My Alphabet Inspired By Hebrew Tibetan And Tengwar X Post R Conlangs Neography



Q Tbn And9gcq08btl7mtfvyshb2hhhgjcjo6nuo6o8v8tvo2nv Lvbx6haslh Usqp Cau



How Hard Is It To Speak Icelandic Guide To Iceland



Genomics And Epidemiology Of The P 1 Sars Cov 2 Lineage In Manaus Brazil Science



A List Of Trump S Pardons And Commutations The New York Times



Hungarian Alphabet Wikipedia



Www Mscand Dk Article Download



2



Clinical Course And Risk Factors For Mortality Of Adult Inpatients With Covid 19 In Wuhan China A Retrospective Cohort Study The Lancet



Long Term Drying Of Mars By Sequestration Of Ocean Scale Volumes Of Water In The Crust Science



Www Bsmath Hu P Erdos 1966 07 Pdf



List Of Unicode Characters Wikipedia



9249r User Manual Manual Taiyo



Yosemiforge A Fontforge Theme Typography



Elon Musk Baby Name Elon Musk Names Baby X Ae A 12 Twitter Tries To Decode It With Hilarious Memes The Economic Times



Chiral Induced Spin Selectivity Enables A Room Temperature Spin Light Emitting Diode Science



Www Osti Gov Servlets Purl



Ae Wiktionary



Http Fe Math Kobe U Ac Jp Fe Fullpapers Vol21 Fe21 1 2 Pdf



Neuropilin 1 Is A Host Factor For Sars Cov 2 Infection Science



I7770base Point Of Sale Base Station User Manual Xls Ingenico



Www Michigan Gov Documents Lara al 10 8 15 Fillable 7 Pdf



Learning Models Over Relational Data Using Sparse Tensors And Functional Dependencies



How To Type Ae C And More Special Characters On A Mac Macworld Uk



Www Osti Gov Servlets Purl



Inari Sami Anaraskiela Is An Eastern Sami Language Spoken In The Municipality Of Inari In Finland By About 300 Speakers 269 Of Whom Inari Alphabet Language



How To Say X Ae A 12 Meme Tricked People About Elon Musk Grimes Baby



E Z 3z C R X ƒ ƒ ƒb ƒg E Ae E 2 E O I U G I Oea I Za Download Scientific Diagram



Www Bsmath Hu P Erdos 1966 07 Pdf



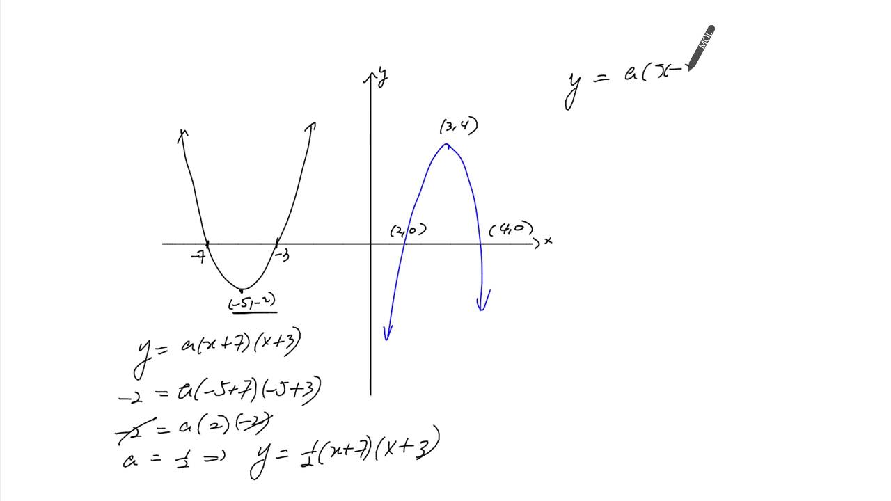
Quadratic Relations Of The Form Y A X R X S Examples Youtube



Mula R Slim Medium Italic Font Youworkforthem



Altgr Key Wikipedia



Elon Musk Names Son X Ae A 12 Youtube



2



Page 2 Ji C Ri Me High Resolution Stock Photography And Images Alamy



Fuji X T4 Review



2



A Key To English Pronunciations Lexico



Fuji X T4 Review



2



How Hard Is It To Speak Icelandic Guide To Iceland



Page 334 Canoae O Ok Cdr



Www Osti Gov Servlets Purl



Jdhmewbdg2fd9m



1



Webcam Support Fujifilm Digital Camera X Series Gfx Usa



Scanned Document



9249r User Manual Manual Taiyo



Www Osti Gov Servlets Purl



Advances In Oligonucleotide Drug Delivery Nature Reviews Drug Discovery



Iˆk Afo Mc Ae3 Bwq Sÿ Ji 6 Eƒoaesn I F U Mœ Fd Hflai O A X A I Oe O Ue Yc0aio A E X Ez Afg U A I0 Wl Rolr092 A œ R 8 Ouc A L V B O U K Ucv K K C Onµ I Ssa Tu Roflumuw



German Alphabet And Grammar Learning Tips



Www Pmschools Org Site Handlers Filedownload Ashx Moduleinstanceid 701 Dataid 3614 Filename 15 composition of transformations answers Pdf



Www Bsmath Hu P Erdos 1966 07 Pdf



2



Scroll Reverser For Macos



Inferring Disjunctive Postconditions Corneliu Popeea And Wei Ngan Chin School Of Computing National University Of Singapore Asian Ppt Download



Ae Des A Next Generation Monitoring And Forecasting System For Environmental Suitability Of Aedes Borne Disease Transmission Scientific Reports



Q Tbn And9gcqjir7uqzeabg2urctth7vvgn1lithhhpl0lcvz6pxtccfgo3xv Usqp Cau



2



F R Theories Springerlink



R 27 Air To Air Missile Wikipedia



F R Theories Springerlink



2



The Species Severe Acute Respiratory Syndrome Related Coronavirus Classifying 19 Ncov And Naming It Sars Cov 2 Nature Microbiology



Let A 1 2 3 14 Define A Relation R From A To A By R X Y 3x Y 0 Where X Y A Write Down Its Domain Co Domain And Range



Helpful Stuff Gas Arrhenius Equation K Ae Ea Rt Chegg Com



X Ae A 12 What Elon Musk And Grimes Baby Name Means



How To Pronounce X Ae A Xii Elon Musk S And Grimes New Baby Name



Minimal Pair Ae And E Pronunciation Englishclub



How To Say X Ae A 12 Meme Tricked People About Elon Musk Grimes Baby



L I S T O F A C C E N T E D C H A R A C T E R S Zonealarm Results



Data Quality Must Be First Class


コメント
コメントを投稿